Aprovechamiento de las propiedades reactivas de los grupos hidroxilo del alcohol polivinílico (PVA). Esta modificación se está desarrollando para nuevas aplicaciones.
ANHUI LIWEI QUÍMICO CO., LIMITADO
1. Condensación dealcohol polivinílicocon grupos carbonilo (aldehídos, cetonas y quinonas) y sus aplicaciones.
① Desarrollo y aplicación de alta viscosidadresina de polivinil butiral (PVB)yPelícula de PVBCapas intermedias de butiral de polivinilo producidas con alta viscosidadResina PVBPresentan una adhesión excepcionalmente fuerte, excelente transparencia, resistencia al agua y a la luz.
Han sido durante mucho tiempo el material preferido para las láminas intermedias de vidrio de seguridad y tienen un enorme potencial de mercado.
② El polivinil benzaldehído se utiliza en la capa absorbente de tinta del papel de impresión. No absorbe bien la tinta, no obstruye las boquillas de la impresora y produce imágenes nítidas con una excelente apariencia.
③ Los acetales de polivinilo que contienen grupos fuertemente hidrófilos presentan una rápida solubilidad en agua y pueden reducir la rugosidad química de la superficie.
④ La condensación de alcohol polivinílico con 1,5-dihidroxi-3-pentanona se utiliza para producir películas de alcohol polivinílico resistentes al agua y a la humedad, con una excelente resistencia mecánica. El producto de la reacción de condensación de alcohol polivinílico y p-formil azofosfonio se utiliza en separaciones cromatográficas y presenta una alta sensibilidad y coeficientes de distribución.
⑥ El alcohol polivinílico se condensa con benzaldehído que contiene grupos fotosensibles para preparar resinas fotosensibles.
2. Esterificación del alcohol polivinílico y aplicaciones.
El alcohol polivinílico se puede condensar con cloruro de acilo o ácido carboxílico mediante catálisis ácida para formar ésteres de alcohol polivinílico. Debido a la alta polaridad del enlace éster, los ésteres de alcohol polivinílico presentan alto brillo, dureza y una alta absorción de agua. Por lo tanto, estos alcoholes polivinílicos tienen una amplia gama de aplicaciones.
① El éster de alcohol polivinílico formado por la reacción del alcohol polivinílico con cloruro de benzoilo presenta alta actividad superficial y viscosidad.
②) El éster borato de alcohol polivinílico, formado mediante la reticulación de alcohol polivinílico con ácido bórico, presenta excelente elasticidad, alta dureza y resistencia a los disolventes ácido acético y etano. Se prepara mezclando 1000 partes de acetonitrilo, 1 parte de alcohol polivinílico y 250 partes de LiBO₂ en un molde y secándolo. Su dureza es de 89,5.
③ El acetato de polivinilo bloqueado se utiliza como estabilizador de dispersión de polímeros.

④ El alcohol polivinílico reacciona con el ácido cloroacético para formar cloroacetato de alcohol polivinílico, una resina fotosensible altamente eficaz.
⑤ Las moléculas de fármacos con grupos carboxilo pueden lograr una liberación sostenida mediante la esterificación con PVA. En los últimos años, el PVA se ha consolidado como un fármaco prometedor de larga duración. Los fármacos pueden unirse a cadenas moleculares de PVA o encapsularse en películas de PVA, para luego administrarse por vía oral o implantarse en el tejido afectado, donde se liberan lentamente para lograr efectos terapéuticos.
Este enfoque ofrece ventajas como una eficacia duradera y efectos secundarios mínimos.
3. Modificación por adición para formar enlaces amida -NHCO-
① El alcohol polivinílico se añade a los isocianatos para producir poliuretanos de alcohol polivinílico. Las películas fabricadas con poliuretanos de alcohol polivinílico presentan excelentes propiedades antivaho y una alta transparencia, con una resistencia mecánica de 18 x 10³ Pa y una elongación al desgarro del 110 %.
② El producto de la reacción del alcohol polivinílico y el diisocianato de difenilmetilo se utiliza para preparar adhesivos antisépticos. El producto de la reacción del alcohol polivinílico y el diisocianato de difenilmetilo se mezcla con éter de glicerol, benzoato y una pequeña cantidad de fragancia para producir un adhesivo con propiedades antisépticas. ③ El producto de la reacción del alcohol polivinílico y el HMPI se utiliza para preparar recubrimientos resistentes al calor. El recubrimiento resultante de la reacción del alcohol polivinílico y el HMPI es resistente al calor, con excelente resistencia al aceite y al agua, y estabilidad. Una película de la emulsión preparada mediante la reacción del alcohol polivinílico y el HMPI, iniciada con diisobutilestaño, acetato de vinilo y 2-aminotiofenol, se sumergió en tolueno a 90 °C durante 1 hora y perdió un 3 % de peso.
3. Modificación por adición para formar enlaces amida -NHCO-
① El poliuretano de alcohol polivinílico se prepara mediante la reacción de adición de alcohol polivinílico con isocianato. La película de poliuretano de alcohol polivinílico presenta excelentes propiedades antivaho y alta transparencia, una resistencia mecánica de 18 x 10³ Pa y una elongación al desgarro del 110 %.
② El producto de la reacción del alcohol polivinílico y el diisocianato de difenilmetilo se utiliza para preparar un adhesivo anticorrosivo. El producto de la reacción del alcohol polivinílico y el diisocianato de difenilmetilo se mezcla con éter de glicerol, benzoato y una pequeña cantidad de fragancia para producir un adhesivo con propiedades anticorrosivas.
③ El producto de la reacción del alcohol polivinílico y el HMPI se utiliza para preparar recubrimientos resistentes al calor.
El recubrimiento preparado mediante la reacción del alcohol polivinílico y el HMPI es resistente al calor, al aceite y al agua, y estable. La emulsión preparada mediante la reacción del alcohol polivinílico y el HMPI con diisobutilestaño como iniciador, acetato de vinilo y 2-aminotiofenol se sumergió en tolueno a 90 °C durante 1 hora y perdió el 3 % de su peso.
4. Modificación mediante otras reacciones
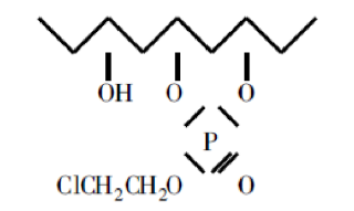
① Formación de enlaces P-O. El alcohol polivinílico se reticula con O-(2-cloroetil)fosfinoilo para formar un polímero éster con excelentes propiedades ignífugas.

② Reacción con urea y sus derivados. El alcohol polivinílico reacciona con la urea y sus derivados para formar polímeros de alcohol polivinílico modificados. Bajo la luz ultravioleta, pueden fotopolimerizarse para formar una película de pintura. Los factores que influyen en la reacción de fotorreticulación incluyen la frecuencia de la luz irradiada, el grado de polimerización del PVA y el tipo de derivado de urea.